2020-01-28 |美国最高法院解除“公共负担新规”全美禁令,即日起H-1B、留学生、职业移民申请人全部受影响!

新闻 0 回答 美国社会

美国最高法院解除“公共负担新规”全美禁令,即日起H-1B、留学生、职业移民申请人全部受影响!

2020-01-28

 

 

本周一下午美国最高法院9位大法官,以5:4的投票结果支持了川普政府计划施行的“公共负担新规”,冻结了此前纽约州、佛蒙特州、康乃狄格州等多位联邦法官“暂停实行该规定”的禁令

 

有了最高法院多数大法官的支持,解除了纽约联邦第二巡回上诉法庭下令暂停在全美范围内执行“公共负担新规”的禁令,虽然该案将在2月14日之后继续审理,但移民相关机构将在除还有一项禁令限制的伊利诺伊之外的49个州及特区继续执行这项政策了,而绿卡申请人也必须证明他们不会成为公共负担


移民局已在官网发表声明,受访移民局、DHS官员均明确表态将“坚决执行新规”,相信在近期就能看到具体执行细则了。

 

image

△截图来源于移民局官网,版权属于原作者

今天小纽的文章就来带大家复习一遍“公共负担”新规重点,诸位H-1B、F-1、职业移民申请人们请仔细阅读,看看大家将如何具体受“公共负担”新规影响及如何躲雷?

 

image

 

 

 

“新版公共负担”影响谁?

image

 

川普的这份“公共负担”新规,是2019年8月14日正式公布原本计划在当年10月15日正式生效执行,“公共负担”一经公布就遭到了21个州和华盛顿特区提出的反对诉讼,反对者认为这份新规歧视发展中国家的低收入人群,就在新规生效的几天前,纽约州、华盛顿州的两位联邦法官先后颁布了针对“公共负担”的全国性禁令

 

image

 

对“公共负担”的考察并非川普首创,其实所有非移民类签证在申请时都需要证明“在美国居留期间经济上要能够自给自足、不会成为公众负担”,这些考察对象包括B-1/B-2、E类签证、F-1、H-1B、H-4、L-1、L-2、O-1、O-3、TN签证等。另外,EB-1、EB-2、EB-3这样的职业移民绿卡申请在递交I-485身份转换时,也需要有类似证明。


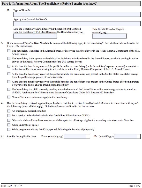
新规定实施后,所有在美国申请身份延期、身份转换的非移民类签证都会面临“公共负担”的考察,移民局已经于去年10月在申请工作签证的I-129表格、办理身份转换的I-539表格中加入了公共负担的审查内容,后因被法官叫停执行而暂时换回了旧版本,不过估计新版表格将很快恢复使用了。

 

image

image

△原计划推出的新版I-129表格截图,版权属于原作者

别以为拿到绿卡之后公共福利就能甩开膀子随便用,新规中对“一些离开美国超过180天的绿卡持有者也可能会被考察公共负担”

 

image

 

 

 

哪些公共福利影响移民申请?

image

 

这份超长、超细致的“公共负担”新规,很大程度扩展了原本美国对“公共负担”的定义范围,看起来将会大幅度抬高低收入合法移民申请绿卡及签证的门槛

 

新规几乎影响到了移民在美国生活的方方面面:医疗、食物、住房等多种社会福利项目,以及申请人的受教育程度、英语水平等。


按照此前美国移民部门的初步估算,新规定每年将直接影响约120万申请人,其中包括已经在美国的50万左右移民群体,其中来自非洲和拉丁美洲的申请人受影响最严重。

 

image

 

以下列出的公共福利中,如果职业移民申请人在36个月内获得过一项或多项指定公共福利、使用超过12个月的将被划入“公共负担”范围,将有可能影响最终获得绿卡

 

  • 任何联邦、州、地方政府提供的现金收入补助;

  • 补充保障收入计划SSI;

  • 贫困家庭临时援助计划TANF;

  • 任何联邦、州、地方政府提供的现金福利项目,很多州称为“General Assistance”;

  • 补充营养援助计划,SNAP,俗称食品券;

  • Housing Choice Voucher Program下的住房补助Section 8;

  • Section 8中的租房补助,其中包括Moderate Rehabilitation;

  • Section 9中的公共房屋;

  • 联邦出资的医疗补助Medicaid,其中一些特例情况除外,下文会做具体说明。

 

关于这些考察内容移民局也不会一杆子全部打死,移民局最终的考察结果会视个案情况而定,工作人员会具体参考申请人的年龄、健康状况、家庭情况、资产、经济状况、教育程度及专业技能、未来可预期的移民身份、预计准入/移民时间等。

 

例如,申请非全日制F-1的留学生被视为“可能会需要工作机会”的风险就越高;18-62岁的申请人会具有明显的年龄优势,年龄小于或高于这个区间使用公共福利的几率就越高;如果患有难以治愈疾病的申请人被拒签的几率就会较高,这类人群进入美国后很大程度是需要医疗救助的;受教育程度越高、英语程度越好的申请人将被视为潜在公共负担的几率会相对较低。

 

image

 

 

 

哪些情况属于例外不受影响?

image

 

新规中明确地列举了一些“例外情况”,这些情况中即使使用了上述政府福利,但将不会因此影响到移民申请,这些特例包括:

 

  • 在紧急医疗状况下接受使用了Medicaid;

  • 使用了“残疾人教育法案”中提供的Medicaid服务或福利;

  • 根据州法或地方法律,符合中学教育年龄或以下年龄的个人使用了学校提供的服务或福利;

  • 21岁以下的外国人使用Medicaid医疗福利;

  • 怀孕女性在孕期和怀孕最后一天开始的60天内获得的Medicaid医疗福利;

  • 该移民申请人曾申请过福利,但福利并非用于自己,也就是说移民局不会把同一个家庭内其他家庭成员使用过的福利计算在未使用过福利、但现在正在申请移民的家庭成员身上。

 

 

 

职业移民申请人

如何可以避免成为“公共负担”?

image

 

除了不使用上述犯忌政府福利之外,对于外籍员工来说,保持合法工作身份当然是必不可少的条件之一。另外容易忽略的一点是要维持有效的医疗保险,并且在购买医疗保险时不使用政府津贴(subsidy)

 

除此之外需要注意的地方还有:


家庭全年总收入必须超过联邦贫困线的2.5倍。以2020年的最新标准计算,如果你是一个四口之家全年总收入的贫困线标准为$26,200,为了达到贫困线的2.5倍,那么2020年你的全家总收入就要超过$65,500。

 

image

△截图来源于官方文件,版权属于原作者

 

 

 

 

看完小纽今天的文章,你对“公共负担”新规还有什么问题或有什么想法?欢迎在文末留言区与小纽留言互动。

查看完整版公共负担新规可以前往:bit.ly/2Bd9m4o

如果你的美国移民申请任何问题,或者你需要一支优秀靠谱的移民法律团队为你提供优质服务,欢迎随时拨打小纽的热线电话800-685-6947免费咨询。

如果你喜欢小纽或者小纽的文章,别忘了点赞、评论、转发,并把小纽介绍给更多的小伙伴。

image

 

image

如果你喜欢小纽或者小纽的文章,别忘了点赞、评论、转发,并把小纽介绍给更多的小伙伴哟~~

(NYIS原创作品,未经授权,不得转载,NYIS保留版权及法律追诉权利。NYIS所有原创文章所发表的观点只属于信息共享,并不构成任何法律意见。)

©Copyright NYIS 2020

推荐律师

 微信扫码联系客服

客服平台
asknyis9

公众平台
newyork_is


 电话咨询请拨打

美国:+1-800-685-NYIS (6947)

中国:+86-400-685-NYIS (6947)


Legal Disclaimer
© Copyright NYIS   ALL RIGHTS RESERVED

F1签证 sitemap

...